浙江高二数学知识点
掌握好高二数学知识点,对你的考试是有利的,那么高二数学具体有哪些知识点呢?下面是小编给大家带来的高二数学知识点,希望对你有帮助。
浙江高二数学知识点(一)
一、集合、简易逻辑(14课时,8个)
1.集合;2.子集;3.补集;4.交集;5.并集;6.逻辑连结词;7.四种命题;8.充要条件。
二、函数(30课时,12个)
1.映射;2.函数;3.函数的单调性;4.反函数;5.互为反函数的函数图象间的关系;6.指数概念的扩充;7.有理指数幂的运算;8.指数函数;9.对数;10.对数的运算性质;11.对数函数.12.函数的应用举例。
三、数列(12课时,5个)
1.数列;2.等差数列及其通项公式;3.等差数列前n项和公式;4.等比数列及其通顶公式;5.等比数列前n项和公式。
四、三角函数(46课时,17个)
1.角的概念的推广;2.弧度制;3.任意角的三角函数;4.单位圆中的三角函数线;5.同角三角函数的基本关系式;6.正弦、余弦的诱导公式;7.两角和与差的正弦、余弦、正切;8.二倍角的正弦、余弦、正切;9.正弦函数、余弦函数的图象和性质;10.周期函数;11.函数的奇偶性;12.函数的图象;13.正切函数的图象和性质;14.已知三角函数值求角;15.正弦定理;16.余弦定理;17.斜三角形解法举例。
五、平面向量(12课时,8个)
1.向量;2.向量的加法与减法;3.实数与向量的积;4.平面向量的坐标表示;5.线段的定比分点;6.平面向量的数量积;7.平面两点间的距离;8.平移。
六、不等式(22课时,5个)
1.不等式;2.不等式的基本性质;3.不等式的证明;4.不等式的解法;5.含绝对值的不等式。
七、直线和圆的方程(22课时,12个)
1.直线的倾斜角和斜率;2.直线方程的点斜式和两点式;3.直线方程的一般式;4.两条直线平行与垂直的条件;5.两条直线的交角;6.点到直线的距离;7.用二元一次不等式表示平面区域;8.简单线性规划问题;9.曲线与方程的概念;10.由已知条件列出曲线方程;11.圆的标准方程和一般方程;12.圆的参数方程。
八、圆锥曲线(18课时,7个)
1.椭圆及其标准方程;2.椭圆的简单几何性质;3.椭圆的参数方程;4.双曲线及其标准方程;5.双曲线的简单几何性质;6.抛物线及其标准方程;7.抛物线的简单几何性质。
九、直线、平面、简单何体(36课时,28个)
1.平面及基本性质;2.平面图形直观图的画法;3.平面直线;4.直线和平面平行的判定与性质;5.直线和平面垂直的判定与性质;6.三垂线定理及其逆定理;7.两个平面的位置关系;8.空间向量及其加法、减法与数乘;9.空间向量的坐标表示;10.空间向量的数量积;11.直线的方向向量;12.异面直线所成的角;
13.异面直线的公垂线;14.异面直线的距离;15.直线和平面垂直的性质;16.平面的法向量;17.点到平面的距离;18.直线和平面所成的角;19.向量在平面内的射影;20.平面与平面平行的性质;21.平行平面间的距离;22.二面角及其平面角;23.两个平面垂直的判定和性质;24.多面体;25.棱柱;26.棱锥;27.正多面体;28.球。
十、排列、组合、二项式定理(18课时,8个)
1.分类计数原理与分步计数原理;2.排列;3.排列数公式;4.组合;5.组合数公式;6.组合数的两个性质;7.二项式定理;8.二项展开式的性质。
浙江高二数学知识点(二)
《不等等式》
解不等式的途径,利用函数的性质。
对指无理不等式,化为有理不等式。
高次向着低次代,步步转化要等价。
数形之间互转化,帮助解答作用大。
证不等式的方法,实数性质威力大。
求差与0比大小,作商和1争高下。
直接困难分析好,思路清晰综合法。
非负常用基本式,正面难则反证法。
还有重要不等式,以及数学归纳法。
图形函数来帮助,画图建模构造法。
《立体几何》
点线面三位一体,柱锥台球为代表。
距离都从点出发,角度皆为线线成。
垂直平行是重点,证明须弄清概念。
线线线面和面面、三对之间循环现。
方程思想整体求,化归意识动割补。
计算之前须证明,画好移出的图形。
立体几何辅助线,常用垂线和平面。
射影概念很重要,对于解题最关键。
异面直线二面角,体积射影公式活。
公理性质三垂线,解决问题一大片。
《平面解析几何》
有向线段直线圆,椭圆双曲抛物线,
参数方程极坐标,数形结合称典范。
笛卡尔的观点对,点和有序实数对,
两者—一来对应,开创几何新途径。
两种思想相辉映,化归思想打前阵;
都说待定系数法,实为方程组思想。
三种类型集大成,画出曲线求方程,
给了方程作曲线,曲线位置关系判。
四件工具是法宝,坐标思想参数好;
平面几何不能丢,旋转变换复数求。
解析几何是几何,得意忘形学不活。
图形直观数入微,数学本是数形学。
《排列、组合、二项式定理》
加法乘法两原理,贯穿始终的法则。
与序无关是组合,要求有序是排列。
两个公式两性质,两种思想和方法。
归纳出排列组合,应用问题须转化。
排列组合在一起,先选后排是常理。
特殊元素和位置,首先注意多考虑。
不重不漏多思考,捆绑插空是技巧。
排列组合恒等式,定义证明建模试。
关于二项式定理,中国杨辉三角形。
两条性质两公式,函数赋值变换式。
《复数》
虚数单位i一出,数集扩大到复数。
一个复数一对数,横纵坐标实虚部。
对应复平面上点,原点与它连成箭。
箭杆与X轴正向,所成便是辐角度。
箭杆的长即是模,常将数形来结合。
代数几何三角式,相互转化试一试。
代数运算的实质,有i多项式运算。
i的正整数次慕,四个数值周期现。
一些重要的结论,熟记巧用得结果。
虚实互化本领大,复数相等来转化。
利用方程思想解,注意整体代换术。
几何运算图上看,加法平行四边形,
减法三角法则判;乘法除法的运算,
逆向顺向做旋转,伸缩全年模长短。
三角形式的运算,须将辐角和模辨。
利用棣莫弗公式,乘方开方极方便。
辐角运算很奇特,和差是由积商得。
四条性质离不得,相等和模与共轭,
两个不会为实数,比较大小要不得。
复数实数很密切,须注意本质区别。
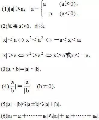
浙江高二数学知识点(三)
1.两个实数a与b之间的大小关系
2.不等式的性质
3.绝对值不等式的性质

浙江高二数学知识点的评论条评论